Quando si parla di Pitching Rate (dall’inglese, tasso di inoculo) si fa riferimento al numero di cellule attive e in buona salute, necessarie affinché il loro inoculo nel mosto possa considerarsi in quantità ideale.
Nelle basse fermentazioni, il tasso di inoculo è sempre il doppio rispetto a quello previsto per le alte fermentazioni. Maggiore sarà la quantità di mosto o la sua densità, superiore dovrà essere il numero di cellule richieste per ottenere risultati fermentativi ottimali. Una quantità inferiore di cellule inoculate (underpitching) in rapporto alla densità (coefficiente di inoculo) e/o ai litri di mosto, porterebbe alla duplicazione eccessiva di cellule sempre meno vitali e sempre più incapaci di fermentare e duplicarsi. Così stressata, la progenie aumenterebbe la produzione di quelle componenti aromatiche che generalmente sono indicate come difetti in alcuni stili. Anche un tasso di inoculo eccessivo (overpitching) sarebbe da evitare, perché accelererebbe la metabolizzazione degli zuccheri lasciando le cellule prematuramente senza nutrimento e senza ossigeno, dando il via all’autolisi con conseguente produzione di composti solforati e mercaptani.
Dato che avere una precisione (comunque non assoluta) del Pitching Rate è appannaggio di quei laboratori che producono i lieviti o di quei birrifici che integrano un laboratorio di analisi, la decisione più ovvia che possiamo prendere, quando calcoliamo il Pitching Rate adeguato al nostro mosto, è quella di abbondare; anche un overpitching può causare qualche problema, ma sarebbe di entità minore rispetto ai problemi che provocherebbe un underpitching.
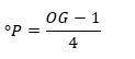
La gradazione saccarometrica (i gradi Plato).
È la scala di misura utilizzata per indicare la concentrazione di zuccheri di un mosto prima della fermentazione. Esistono diverse scale per effettuare questa misurazione, ma quella più usata a livello mondiale è la scala Plato e rappresenta la percentuale in peso di zuccheri rapportata al peso del mosto in cui sono disciolti; 1°P equivale a 10 gr di zuccheri disciolti in 1 Kg di mosto.
Per convertire valori espressi in densità (OG), ed ottenere gradi Plato, la formula è la seguente;

Il coefficiente di inoculo
Indica la quantità minima di cellule che 1 millilitro di mosto dovrebbe contenere in rapporto alla quantità di zuccheri presenti. Questa quantità viene sempre espressa in milioni e il valore varia in base al tipo di fermentazione (alta o bassa).
La tabella qui sotto, riporta i coefficienti di inoculo suddivisi per tipo di fermentazione e range di densità.
| Range densità | Coeff. di inoculo alte fermentazioni |
Coeff. di inoculo basse fermentazioni |
| Fino a 1,050 (<12,5 °P) | 0,75 | 1,50 |
| Da 1,050 a 1,080 (>12,5 °P - <20 °P) | 1,00 | 1,75 |
| Superiore a 1,080 (>20 °P) | 1,75 | 2,00 |
Per conoscere quindi il Pitching Rate necessario a fermentare in modo ottimale il mosto appena prodotto, dovremo moltiplicare tra loro i seguenti fattori:
- Volume del mosto in millilitri
- Densità del mosto in gradi Plato
- Coefficiente di inoculo
Supponendo di avere 20 litri di mosto con una densità 1,060 (15°P) dovremo eseguire la seguente operazione:
Alta fermentazione = 20.000 x 15 x 1 = 300.000 (milioni di cellule)
Bassa fermentazione = 20.000 x 15 x 1,75 = 525.000 (milioni di cellule)
Ordunque, le cellule di cui necessitiamo per l’inoculo in alta fermentazione sono 300 miliardi, mentre in bassa fermentazione 525 miliardi. Come facciamo a sapere di quante cellule disponiamo e quante ne dobbiamo sviluppare, per raggiungere un tasso di inoculo ottimale? Considerando che una bustina di lievito secco, anche freschissimo, contiene circa tra i 100 miliardi (alte fermentazioni) e 180 miliardi di cellule (basse fermentazioni), è ovvio desumere che una sola confezione non è sufficiente a fermentare un batch di 20 L con una densità OG 1,060, il quale richiede almeno 300 miliardi di cellule in alta fermentazione e 525 miliardi in quella bassa. Tuttavia, dato il costo irrisorio delle confezioni di lievito secco, la soluzione è semplice; aumentiamo la dose di lievito inoculando 3 bustine. Se optiamo per l’utilizzo di un lievito liquido invece, anche qualora fosse stata confezionata lo stesso giorno (cosa praticamente impossibile, a meno di lavorare per l’azienda produttrice del lievito), tentare di fermentare lo stesso batch con una sola bustina sarebbe ancora più folle. Dato il costo tutt’altro che economico dei lieviti liquidi, a questo punto, dovremo necessariamente provvedere alla preparazione di uno starter.
