Questa tecnica di ammostamento è originariamente stata introdotta in UK ed ha il vantaggio di rendere tutta la procedura estremamente più semplice.
È una via di mezzo tra l’ammostamento classico (Ammostamento classico) e quello per decozione (Ammostamento per decozione), e può essere mono-step o multi-step. Seppure, non in misura pari all’ammostamento per decozione, questa tecnica apporta maggiore intensità di sapore alla birra, ma non ne intensifica il colore, in quanto l’unico ingrediente che viene portato ad ebollizione, è l’acqua. Avremo, quindi, anche una ridotta estrazione di tannini, dato che il grist ammostato non viene esposto direttamente al calore della fiamma. Inoltre, per attuare questa tecnica dobbiamo disporre di una sola pentola ed un tino coibentato per l’ammostamento. Volendo, possiamo usare direttamente la pentola di boiling, purché disponiamo di un cestello filtro o una sacca dove inserire i grani.
Come procedura non si discosta molto dall’ammostamento classico mono e multi-step, ed anche i vantaggi che ne derivano, eccetto per la superfluità di acquistare una pentola da utilizzare esclusivamente per l’ammostamento, non sono tali da farci preferire questa tecnica a quella classica. Tuttavia, l’infusione all’inglese consente di semplificare di molto tutta la procedura di ammostamento, il che vuol dire molto quando non abbiamo un compagno di brassatura ad aiutarci.
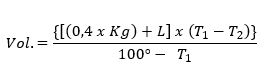
Anche in questo caso abbiamo bisogno di un’equazione, per calcolare la quantità necessaria di acqua da bollire necessaria per portare l’impasto in ammostamento alla temperatura di step successivo. Ecco l’equazione:

- Vol. è la quantità di acqua bollente necessaria, espressa in litri, per portare l’ammostamento allo step successivo;
- 0,4 è una costante, che tiene in considerazione l’inerzia termica dei grani ammostati;
- Kg è il peso totale del grist in ammostamento;
- L sono i litri di acqua/mosto presenti nel tino di ammostamento al momento dell’aggiunta di acqua bollente;
- T1 equivale alla temperatura target, ovvero quella che dobbiamo raggiungere con l’intera cotta per passare allo step successivo.
- T2 equivale alla temperatura di partenza, ovvero quella attualmente presente nel tino di ammostamento;
- 100° è la temperatura di ebollizione, ovvero quella che dobbiamo raggiungere con l’acqua da infusione.
Dato che questa tecnica ha origini anglosassoni, per la ricetta esempio brasseremo un classico tra gli stili “British”; una Best Bitter. Il grist è composto da un totale di 4 Kg di grani, ed il volume finale dovrà risultare di 20 litri, con un rapporto acqua/grani iniziale di almeno 2,7 L/Kg. Cominciamo.
Considerando anche l’assorbimento dei grani (1 L/Kg), portiamo i primi 15 litri di acqua a 69°C temperatura che, una volta immersi i grani, si abbasserà, stabilizzandosi a 66°C. Rimestiamo, copriamo il tino di ammostamento ed attendiamo 30 minuti, durante i quali calcoleremo la quantità di acqua di infusione necessaria a portare l’impasto a 72°C.

Portiamo, quindi, ad ebollizione circa 3,5 litri, che immetteremo nel tino di ammostamento. Rimestiamo l’impasto, che si stabilizzerà ad una temperatura di 72°C. Copriamo il tino ed attendiamo altri 30 minuti. Trascorso questo lasso di tempo, eseguiamo il test della tintura di iodio, per verificare l’avvenuta conversione totale degli amidi. Se il test fornisce un risultato positivo alla presenza di amidi, attendiamo ancora 10 minuti e ripetiamo il test, altrimenti, calcoliamo la quantità di acqua di infusione necessaria a portate l’impasto a 78°C per il Mash Out. Facciamo attenzione perché, ora la quantità di acqua presente nel tino di ammostamento è aumentata.

Portiamo, quindi, in bollitura circa 5,5 litri, che immetteremo nel tino di ammostamento. Rimestiamo l’impasto, che si stabilizzerà ad una temperatura di 78°C. Copriamo il tino ed attendiamo altri 10 minuti, dopodiché trasferiamo il mosto nella pentola di boiling e procediamo con lo sparging.
