L’ammostamento per decozione è una procedura che apporta alcuni vantaggi alla birra ma al contempo alcuni svantaggi in fase produttiva.
Gli svantaggi possono riassumersi in un incremento del lavoro, dei tempi di brassatura e dell’attenzione da porre tra un passaggio e l’altro. I vantaggi, invece, si possono osservare a lavoro ultimato e, se le procedure verranno svolte correttamente, ci ripagheranno abbondantemente degli sforzi e del tempo impiegati, regalandoci una birra dal corpo pieno, dal gusto ricco di malto e dal colore intenso. Con questa tecnica di ammostamento, inoltre, otterremo un mosto con una densità maggiore, rispetto a quanto riusciremmo ad ottenere dalla medesima ricetta brassata con qualsiasi altra tecnica di ammostamento (Tecniche di ammostamento).
In pratica, a differenza dell’ammostamento tradizionale (Ammostamento classico), dove tutto il processo si svolge all’interno di una sola pentola, nell’ammostamento per decozione servono due pentole; una per l’ammostamento e una per la decozione. La prima viene utilizzata per mantenere il grist in ammostamento, e la seconda per portare parte dell’impasto in bollitura (decozione). Dopo qualche minuto di ebollizione, il contenuto della pentola di decozione viene reinfuso nella pentola di ammostamento. La miscelazione dell’impasto decotto, ad una temperatura di 100°C, con quello caldo presente in ammostamento, porterà l’intero mosto alla temperatura prevista per lo step successivo. In accordo con la ricetta, avremo quindi ammostamenti a singola, doppia o tripla decozione.
Data la quantità di lavoro extra e di tempo necessario per ultimare tutta la procedura, l’ammostamento per decozione andrebbe adottato esclusivamente quando siamo in presenza di malti poco modificati, con potere diastatico ridotto, oppure quando la ricetta prevede un’alta percentuale di cereali non maltati nel grist. La prematura bollitura di una porzione del grist comporta, infatti, il rigonfiamento e l’esplosione dei granuli di amido, che rilasceranno gli zuccheri, facilitando l’azione degli enzimi diastatici preposti alla saccarificazione. Tuttavia, la porzione di grist che verrà decotta acquisirà inevitabilmente colore, a causa della presenza di zuccheri e aminoacidi già estratti e solubilizzati durante le prime fasi di ammostamento. Questo fattore è da tenere in considerazione quando progettiamo una ricetta in cui è previsto l’ammostamento per decozione.
Le porzioni di impasto che estraiamo per le varie decozioni, devono essere inizialmente composte in maggior parte da grani e, man mano che procediamo con le decozioni successive, sempre più liquide. Il motivo di ciò è preservare gli enzimi rilasciati nella pentola di ammostamento, che altrimenti verrebbero sterminati durante la fase finale della decozione a 100°C. Lasciando la parte liquida nella pentola di ammostamento ed estraendo maggiormente quella solida, gran parte degli enzimi resta attiva durante tutto il processo di ammostamento. Tuttavia, l’impasto estratto deve anche includere una quantità di liquido sufficiente ad evitare che, durante la decozione, i grani si caramellizzino eccessivamente fino a bruciare. Per questo motivo e per il fatto che durante la decozione una buona parte dell’acqua evapora, nell’ammostamento per decozione il rapporto acqua/grani è sempre superiore alle altre tecniche di ammostamento; diversamente dai soliti 3 L/Kg, con questa tecnica il rapporto non deve essere inferiore ai 4 L/Kg. Per ridurre gli effetti derivanti dalle reazioni di Maillard e dall’eccessiva caramellizzazione, dobbiamo armarci di tanta pazienza e di un buon mestolo da birraio, e rimestare in continuazione l’impasto per tutto il tempo in cui resterà in decozione. Per evitare l’ossidazione, quando reimmettiamo l’impasto decotto nella pentola di ammostamento, dobbiamo farlo delicatamente in modo da non splashare il mosto. Anche il pH è essenziale che si attesti nel range tra i 5,2 e i 5,7, onde evitare l’eccessiva estrazione di tannini, con conseguente forte astringenza della birra finita. Ovviamente, la pentola di ammostamento dovrà essere adeguatamente coibentata, al fine di mantenere la temperatura il più a lungo possibile, mentre si procede alla decozione.
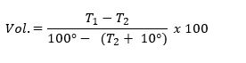
Per calcolare la quantità di impasto da estrarre per portare l’intera cotta alla temperatura successiva, ci viene in aiuto una semplice equazione. Vediamola e poi la commentiamo.

- Vol. è la quantità in percentuale di impasto destinato ad essere decotto, che dobbiamo estrarre dalla pentola di ammostamento;
- T1 equivale alla temperatura target, ovvero quella che dobbiamo raggiungere con l’intera cotta per passare allo step successivo;
- T2 equivale alla temperatura di partenza, ovvero quella presente nella pentola di ammostamento al momento di prelevare l’impasto per la decozione;
- 100° è la temperatura di ebollizione, ovvero quella che dobbiamo raggiungere con la decozione;
- 10° è il raffreddamento dovuto alle perdite di temperatura da parte della strumentazione durante questa fase. 10°C è un fattore attendibile seppur approssimativo, ma in base al proprio impianto possiamo variarlo.
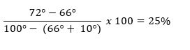
Per rendere più chiaro tutto il processo, prendiamo in esempio la produzione di una Doppelbock, il cui grist ammonta a 8 Kg di grani, con un rapporto acqua/grani di 4 L/Kg. Il batch finale dovrà risultare di 20 litri (sparging escluso) che, considerato l’assorbimento dei grani (circa 1 L/Kg) e l’evaporazione per decozione, ci porterà ad utilizzare 32 litri di acqua in totale.
Portiamo l’acqua a 70°C che, una volta immersi i grani, si abbasserà, stabilizzandosi a 66°C, innescando la reazione degli enzimi diastatici. Rimestiamo il grist un minuto e copriamo la pentola per 20 minuti. Il prossimo step di saccarificazione vuole la temperatura del grist a 72°C. Estraiamo quindi la porzione di impasto necessaria per la decozione.

Dobbiamo prelevare il 25% di 32 litri, ovvero 8 litri, che metteremo nella pentola di decozione. Iniziamo lentamente la rampa, in modo da portare dolcemente l’impasto a 72°C nell’arco di 10 minuti, dove lo terremo per altri 20 minuti, continuando a rimestare senza sosta. Scaduto il tempo, alziamo la fiamma e, continuando a rimestare, portiamo il decotto in ebollizione, dove lo terremo per una decina di minuti. Terminato il processo di decozione, riversiamo il mosto bollente nella pentola di ammostamento e misceliamo bene i due impasti, al fine di uniformare la temperatura nel mosto, che dovrebbe attestarsi sui 72°C. Copriamo ed attendiamo altri 30 minuti. Scaduto il tempo, preleviamo un campione e procediamo con il test della tintura di iodio, per verificare l’avvenuta conversione totale degli amidi. Se il test fornisce un risultato positivo alla presenza di amidi, attendiamo ancora 10 minuti e ripetiamo il test, altrimenti trasferiamo il mosto nella pentola di boiling e procediamo con lo sparging, senza effettuare Mash-Out.
Questo che abbiamo visto è il tipico ammostamento per decozione mono-step. Analizziamo di seguito le procedure per eseguire la stessa tecnica a due e tre step.
Ammostamento per decozione a due step
La procedura descritta in questo paragrafo viene utile quando in ricetta abbiamo una alta percentuale di cereali in fiocchi e prevede il Mash-In a temperatura di Proteasi.
- Mash-In a 53°C per 15’;
- I° decozione a 72°C per 20’, poi rampa di 10’ ed ebollizione per altri 10’;
- Infusione del decotto che porta il mashing a 66°C, dove rimane per 20’;
- II° decozione con rampa di 15’ per arrivare direttamente in ebollizione, dove resterà per 15’;
- Infusione del decotto che porta il mashing a 72°C, dove rimane per 20’ o finché il test della tintura non dia esito negativo alla presenza degli amidi;
- Trasferimento nella pentola di boiling con successivo sparging, senza effettuare Mash-Out.
Ammostamento per decozione a tre step
La procedura descritta in questo paragrafo viene utile quando in ricetta abbiamo un’alta percentuale di cereali non maltati, e prevede il Mash-In dei soli cereali non maltati a temperatura di Proteasi, mentre la prima decozione viene tenuta a 65°C, per consentire la β-Glucanasi. Il resto del grist viene aggiunto in ammostamento successivamente all’infusione del primo decotto.
- Mash-In a 50°C per 20’;
- I° decozione con rampa di 15’ per raggiungere la temperatura di 65°C, dove rimane per 25’. Nessuna ebollizione;
- Infusione del decotto che porta il mashing a 56°C, dove rimane per 5’;
- Aggiunta del resto del grist, che abbassa e stabilizza la temperatura a 53°C.
- II° decozione con rampa veloce per arrivare direttamente in ebollizione, dove resterà per 25’;
- Infusione del decotto che porta il mashing a 65°C, dove rimane per 45’ o finché il test della tintura non dia esito negativo alla presenza degli amidi;
- III° decozione con rampa veloce per arrivare direttamente in ebollizione, dove resterà per 10’;
- Infusione del decotto che porta il mashing a temperatura di Mash-Out;
- Trasferimento nella pentola di boiling con successivo sparging.
