Le unità della scala IBU esprimono in parti per milione, ovvero in milligrammi per litro, il contenuto di iso-α-acidi presenti nella birra. Detto così, calcolare le IBU sembrerebbe alquanto semplice.
In pratica dovremmo soltanto moltiplicare il valore AA% del luppolo selezionato per la quantità che utilizzeremo. In realtà, come abbiamo visto negli articoli precedenti (Le componenti amaricanti del luppolo e Stimare l'amarezza (parte 1)), il tasso di conversione degli α-acidi in iso-α-acidi è condizionato da diversi fattori, e qui si complica la cosa. Per una più precisa stima delle IBU, è quindi necessario stabilire la percentuale di α-acidi che viene isomerizzata prima di procedere al calcolo. Sebbene in gioco ci siano molti altri i fattori che determinano questo tasso di conversione (ed alcuni di questi sono tutt’altro che trascurabili), è imperativo includere nell’equazione almeno il fattore con il grado di influenza più alto sul “utilizzo”; quello riferito ai tempi di bollitura.
Prima di procedere al calcolo, dobbiamo procurarci i fattori da inserire nell’equazione. Partiamo con un esempio semplice. Supponiamo di voler produrre una Pale Ale il cui volume è di 23 L, con una densità OG di 1,060, e che intendiamo utilizzare 60 g di luppolo Fuggle in coni con AA% 4,5 a 60’ dal termine di bollitura e 40 g di luppolo Challenger in pellet con AA% 7,5 a 10’ dal termine della bollitura.
Innanzitutto, dobbiamo calcolare il fattore di correzione che determina la densità del mosto pre-boiling. Questo fattore non può mai essere inferiore a 1,0 e viene calcolato per mosti con OG superiore a 1,050. Con la seguente operazione, otteniamo questo fattore di correzione:

Per quanto riguarda la suddetta Pale Ale il fattore di correzione della densità equivale a:

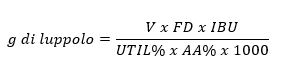
A questo punto abbiamo tutti i fattori per poter calcolare le IBU. L’equazione base è la seguente:

Abbiamo detto che:
- La prima gettata è di 60 g (Qty)
- I minuti di bollitura sono 60 ed il formato è in coni (UTIL 30%)
- La percentuale di α-acidi è 4,5 (AA%)
- Il volume del mosto è 23 L (V)
- Il fattore di correzione della densità è 1,05 (FD)
- 1000 è il fattore di correzione che converte le unità dell’equazione in mg/L
Procediamo a calcolare le IBU della prima gettata:

La prima gettata fornirà al mosto circa 33,5 punti IBU. Precediamo a calcolare la seconda gettata.
Abbiamo detto che:
- La seconda gettata è 40 g (Qty)
- I minuti di bollitura sono 10 ed il formato è in pellet (UTIL 6%)
- La percentuale di α-acidi è 7,5 (AA%)
Tutti gli altri fattori restano invariati. Procediamo con la stima delle IBU nella seconda gettata:

La seconda gettata fornirà al mosto circa 7,5 unità IBU, che sommati ai precedenti 33,5 della prima gettata, otterremo un valore totale approssimativo di 41 IBU.
E se volessimo applicare questa equazione ad un mosto concentrato che verrebbe successivamente diluito nel fermentatore, come dovremmo operare? L’equazione non cambia. L’unico fattore da riconsiderare è quello utilizzato per calcolare la correzione della densità.
Supponendo che dei 23 L finali con OG 1,060 volessimo restringerli a 18 L, otterremo una densità OG pari a 1,077:

Dobbiamo quindi riconsiderare il fattore di correzione della densità con questi nuovi dati:

Successivamente, riportiamo questo fattore nell’equazione, ricordandoci di modificare anche il volume del mosto. La prima gettata darà il seguente valore IBU:
La seconda gettata invece:
Totale a fine bollitura 48 IBU che andranno poi diluiti con 5 L di acqua riducendosi a circa 38 IBU (48 x 18 ÷ 23 = 37,56).
È interessante notare, come questo risultato avvalori la teoria esposta nel precedente articolo (Stimare l'amarezza (parte 1)), in cui accennavamo alla riduzione dell’isomerizzazione degli α-acidi in un mosto con densità maggiore. Infatti, pur utilizzando la stessa varietà di luppoli, negli stessi formati, infusi nei medesimi tempi di bollitura, nella Pale Ale da 23 litri abbiamo stimavamo 41 IBU mentre, nella versione concentrata, successivamente alla sua diluizione, ne stimiamo solo 38.
Vediamo ora come procedere al calcolo del quantitativo di luppolo necessario per raggiungere un determinato valore IBU.
Calcolo della quantità di luppolo.
Ogni stile possiede un range oltre il quale (o al disotto del quale) il valore IBU risulta sbilanciato in rapporto alla quantità di malti utilizzati (Il rapporto BU:GU e RBR). Qualora, quindi, volessimo brassare un determinato stile, avremmo un riferimento preciso su cui basarci, per calcolare la quantità di luppolo da utilizzare in rapporto alla varietà scelta. Prendiamo come esempio una Belgian Tripel che, in accordo con quanto riportato dal BJCP, dovrebbe attestarsi in un range IBU tra 20 e 40 unità, con una densità OG tra 1,075 e 1,085. Supponiamo di volere brassare 20 L con OG 1,080 e IBU 35, utilizzando il solo luppolo Styrian Goldings in pellet con AA 5,5% in un'unica gettata a 60’ dal temine della bollitura. L’equazione base è la seguente:

Come prima cosa dobbiamo ottenere il fattore di correzione della densità:

Abbiamo ora tutti i fattori:
- L’obbiettivo IBU da raggiungere (IBU)
- Il fattore di correzione della densità è 1,15 (FD)
- I minuti di bollitura sono 60 ed il formato è in pellet (UTIL 35%)
- La percentuale di α-acidi è 5,5 (AA%)
- Il volume del mosto è 20 L (V)
- 1000 è il fattore di correzione che converte le unità dell’equazione in mg/L
Possiamo procedere a calcolare la quantità di luppolo in pellet di cui abbiamo bisogno.

Necessitiamo di circa 42 g di luppolo in pellet per raggiungere un valore IBU 35. Utilizzando l’equazione per calcolare le IBU della ricetta come "prova del 9", i conti tornano alla perfezione:

Il luppolo nella stesura della ricetta.
Mentre le equazioni osservate sono utili per il calcolo delle IBU presenti nella birra finita e per la quantificazione delle dosi di luppolo da amaro da utilizzare in ricetta, per quanto riguarda l’apporto aromatico e gustativo le suddette equazioni non snocciolano alcun dato. Gli oli essenziali e le resine contenute nei luppoli subiscono entrambi gli effetti dell’ossidazione ed entrambi tendono a perdersi durante la conservazione ed il processo di birrificazione, ma in modi e percentuali indipendenti l’uno dall’altro. Tuttavia, le due equazioni osservate fino a questo momento possono venirci in aiuto ed essere utilizzate sinergicamente per completare la stesura della ricetta, al fine di quantificare le dosi di luppolo da utilizzare, tenendo presente che gettate di luppolo a meno di 30 minuti dalla fine, poco incideranno sull’amaro ma avranno un maggiore impatto sul gusto e sull’aroma della birra. Per esempio, una volta stabilito il valore delle IBU finali di una ricetta che abbiamo intenzione di brassare e decidendo di fare diverse gettate per rendere particolarmente aromatica la nostra birra, dovremo iniziare a calcolare i quantitativi di luppolo per ogni gettata partendo dall’ultima in ordine cronologico, andando a ritroso fino alla prima. Con un esempio pratico capiremo meglio.
Supponiamo di volere brassare una IPA da 20 L, con OG 1,070 e IBU 60 ed effettuare quattro gettate in bollitura così composte:
- ?? g a 60’ dal termine della bollitura
- 20 g a 20’ dal termine della bollitura
- 30 g a 15’ dal termine della bollitura
- 40 g a 10’ dal termine della bollitura
Per facilitare l’esempio utilizzeremo solamente luppolo Cascade in pellet con AA 6%. Calcoliamo il fattore di correzione della densità:

Abbiamo quindi un totale IBU, fino a questo punto, di:
IBU = 6,55 + 12,27 + 10,91 = 29,73
Fino a questo momento abbiamo considerato le IBU apportate al mosto con il solo luppolo da aroma. Per raggiungere la quota delle 60 IBU previste nella ricetta ci mancano oltre 30 unità IBU. Per conoscere quanto luppolo dovremo utilizzare per raggiungere le IBU target, utilizzeremo la seconda equazione:

A 60’ dal termine della bollitura dovremo aggiungere 31,4 g di luppolo da amaro con AA% 6, per raggiungere le IBU previste dalla ricetta.
Sostituzione del luppolo.
Qualora non fossimo in possesso di uno o più luppoli descritti nella ricetta, possiamo sostituirli con altre varietà. Ovviamente, un luppolo con composti aromatici differenti apporterà sensibili cambiamenti all’aroma ed al gusto della birra rispetto al luppolo indicato in ricetta, ma è possibile utilizzarlo come luppolo da amaro, senza percepire differenze sostanziali per quanto riguarda l’apporto di amaro fornito alla birra. Anche qualora la percentuale di α-acidi fosse differente, potremo utilizzarlo per raggiungere le IBU previste, previo calcolo delle dovute proporzioni. Supponiamo che nella ricetta sono richiesti 40 g di luppolo (1) con AA 8% ma noi disponiamo di un luppolo (2) con AA 5%. Non dovremo far altro che moltiplicare la percentuale di α-acidi del luppolo richiesto per la quantità da utilizzare e, successivamente, dividere il totale per la percentuale di α-acidi presenti nel nostro luppolo:

40 x 8% = 3,2 ÷ 5% = 64 g
Possiamo sostituire i 40 g di luppolo 1 con 64 g di luppolo 2.
