Preparare uno starter è un’operazione essenziale quando utilizziamo lieviti in forma liquida. Fermo restando che nessuno ci vieta di prepararlo anche utilizzando lieviti secchi, questa procedura ha ragione di essere eseguita soltanto se abbiamo in progetto di produrre un mosto con una densità molto alta o una cotta di molti litri, e ci siamo accorti troppo tardi di avere in frigorifero una sola bustina di lievito secco.
Personalmente, rimanderei la cotta finché non riuscirei a procurarmi altre bustine di lievito, ma se proprio non volessi rinunciare a procedere, allora dovrei preparare necessariamente uno starter.
Le ragioni per cui preparare uno starter diventa indispensabile sono da ricercare nella quantità e nella vitalità delle cellule di lievito necessarie a fermentare un determinato tipo di mosto. Uno starter, fondamentalmente, non è altro che un mini-mosto, in cui inoculeremo i lieviti, per dare modo alle cellule di rinforzarsi e moltiplicarsi in numero sufficiente, a fermentare il mosto che andremo a preparare il giorno della cotta. Quello che ci interessa, è aumentare il numero delle cellule attive ed in salute già in nostro possesso, cosa che avviene nelle prime fasi successive all’inoculo. Per fare ciò, terminata la loro riproduzione, i nutrienti dovranno essere esauriti, in modo che le cellule flocculino interrompendo qualsiasi altro processo fermentativo. Inoltre, evitando la fermentazione (quella tumultuosa), non ci sarà produzione di alcol che, con densità cellulari così elevate, potrebbe essere letale per i lieviti. Se i nutrienti non terminassero prima, le cellule, una volta raggiunta la saturazione, inizierebbero le fasi di fermentazione tumultuosa e stazionaria andando poi a flocculare e morire, e lasciandoci con meno cellule attive di quando abbiamo cominciato.
Tuttavia, riagganciandoci al discorso del lievito secco, dato il costo irrisorio delle confezioni, e data la sua propensione a perdere vitalità se reidratato direttamente nel mosto, qualora non ci sia una necessità reale, preparare uno starter senza reidratare preventivamente le cellule, non ha alcun senso, anzi, è controproducente. Con i lieviti liquidi il discorso è differente. Questi, non necessitano di essere reidratati e sono già attivi al momento che romperemo l’involucro protettivo all’interno della confezione. I lieviti liquidi, in alcuni casi, vengono confezionati all’interno di speciali buste, in cui le cellule sono separate da un liquido organico ricco di nutrienti fornito a corredo. Dopo alcune ore dall’estrazione della bustina dal frigorifero, possiamo rompere il divisorio che tiene il lievito separato dal liquido nutriente e, una volta agitata la confezione per miscelare i due liquidi, noteremo che la bustina comincerà a gonfiarsi; questo è il segno che i lieviti sono attivi ed hanno iniziato a metabolizzare le sostanze contenute nel liquido nutriente, producendo anidride carbonica.
Ad ogni modo, utilizzando i lieviti liquidi, una bustina non è mai sufficiente a fermentare una cotta da 20 Lt di mosto, a meno di ottenere una birra molto leggera ma sbilanciata aromaticamente. Nessuno, tuttavia, ci vieta di usarne due o anche tre. E allora perché fare uno starter quando possiamo usare più di una bustina di lievito liquido? Le ragioni sono fondamentalmente economiche; il costo dei lieviti liquidi è particolarmente alto, ed una seconda bustina ci costerebbe più di quanto spenderemmo in materiale per preparare uno starter.
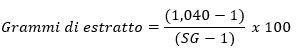
Lo starter va preparato con largo anticipo; almeno cinque giorni prima della cotta. Si procede preparando il mini-mosto, formato da acqua ed estratto di malto secco o liquido, in quantità tale da ottenere, a fine bollitura, un mosto raffreddato con densità di circa 1,040 (anche qualche punto in meno può andare bene). Per ottenere questa densità è necessario conoscere la SG potenziale dell’estratto che andremo ad utilizzare, tenendo a mente che il valore fornito dal produttore deve essere inteso come teorico e mai assoluto. È necessario non eccedere quando si dosa l’estratto, per non ritrovarci con cellule già stressate qualora dovessero anche fermentare lo starter, ma neanche sottostimarne la dose per evitare che il processo di moltiplicazione delle cellule termini prima del previsto, a causa dell’esaurimento prematuro delle sostanze nutritive.
Per calcolare la quantità in grammi di estratto per ogni litro d’acqua, utilizziamo una formula molto semplice:

Dove SG è il potenziale teorico riportato dal produttore dell’estratto.
Se optassimo per l’estratto di malto secco (che ha mediamente un valore SG 1,036 circa) avremo bisogno di circa 110 grammi per ogni litro d’acqua; qualora scegliessimo estratto di malto liquido (che ha un valore SG 1,029 circa per via dell’acqua che già possiede), dovremo utilizzare circa 135 grammi per litro d’acqua.
Consideriamo sempre che durante la bollitura, sebbene di soli dieci minuti, l’evaporazione dell’acqua incrementerà la densità del mini-mosto. Per non ritrovarci con una densità troppo alta o con una quantità di mosto troppo bassa, abbondiamo leggermente con la dose dell’acqua. Terminata la bollitura, dovremo ritrovarci con almeno un litro di mosto ad una densità minima di 1,030 e massima di 1,040. Per quanto riguarda la preparazione di uno starter per ceppi di lieviti a bassa fermentazione, raddoppiamo le quantità di acqua e di estratto.
Calcoli preliminari per la preparazione di uno starter.
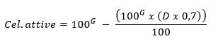
Per produrre uno starter adeguato al mosto che brasseremo il giorno della cotta, innanzitutto, dovremo cercare di capire quante delle cellule, originariamente confezionate nella bustina di lievito liquido in nostro possesso, sono ancora attive. Per farlo, controlliamo la data di produzione presente nelle confezioni di lievito liquido (Wyeast) o la data di scadenza (White Labs). In questo ultimo caso, la data riportata come “Best Before”, è sempre riferita a sei mesi successivi alla data di produzione. Se, per esempio, indica come Best Before il 1° gennaio, significa che il lievito è stato confezionato il precedente 1° luglio, Calcolati i giorni dal suo confezionamento, moltiplichiamoli per il coefficiente di mortalità media giornaliera (0,7) ed otterremo la percentuale di cellule non più attiva che dovremo sottrarre al numero originario di cellule attive al momento del confezionamento (100 miliardi). La formula è la seguente:

Dove D indica il numero di giorni passati dal confezionamento del lievito e 100G invece indica i miliardi di cellule.
Supponendo che siano passati 30 giorni dal confezionamento del lievito in nostro possesso, dovremo effettuare il seguente calcolo;

Dopo 30 giorni dal suo confezionamento, avremo a disposizione 79 miliardi di cellule ancora vive. Volendo utilizzare il lievito per una birra ad alta fermentazione da 20 L, il cui mosto ha una OG pari a 1,040, avremo bisogno di incrementare il numero di cellule quasi del doppio. A questo punto, possiamo scegliere se utilizzare due bustine di costoso lievito liquido o preparare uno starter, che porterà il numero delle cellule di una sola bustina da 79 a 150 miliardi.
Ma esattamente, quanti litri di starter dobbiamo preparare e quante cellule attive otterremo? La cosa qui si complica perché, a questo punto, per avere le risposte alle suddette domande, dovremo fare dei calcoli nei quali è necessario considerare variabili come tasso di inoculo, fattore di crescita e attenuazione del lievito. Come vedremo più avanti, approfondendo l’argomento inerente al concatenamento degli starter (Preparazione di uno Starter (parte 2)), la progenie derivante dalle cellule madre inoculate nel mini-mosto continuerà a duplicarsi, finché non verranno a mancare ossigeno o nutrienti (o entrambe le cose) oppure non subentreranno condizioni avverse, come saturazione alcolica e tasso di CO2 elevato. A quel punto, le cellule non saranno più in grado di generare ulteriori cellule, ma avranno nel frattempo accumulato energia sotto forma di sostanze nutrienti, e se ne serviranno per riprendere la duplicazione non appena ossigeno e nutrienti saranno nuovamente disponibili, e anche i tassi di alcol e CO2 torneranno a valori accettabili. Ecco spiegato il motivo per cui, in determinate situazioni, concatenare gli starter diventa essenziale per raggiungere il Pitching Rate di cui abbiamo bisogno. Ma torniamo alla domanda iniziale: quanti litri di starter devo preparare e quante cellule otterrò alla fine?
Partiamo dal presupposto che la saturazione massima di cellule in uno starter, a prescindere dai litri che intendiamo produrre, non deve in nessun caso superare i 200 milioni per ml. Ciò significa che, se inoculiamo 100 miliardi di cellule in 0,5 L di mosto, avremo già saturato lo starter, ed il fattore di crescita, a questo punto, sarebbe pari a 0. Inoltre, il fattore di crescita è inversamente proporzionale al numero di cellule che andremo ad inoculare. Questo significa che, maggiore è la saturazione di cellule per ml al momento dell’inoculo dei lieviti nello starter, minore sarà il fattore di crescita che otterremo. A questo punto però entrano in gioco altre variabili oltre alla saturazione (per esempio, l’attenuazione dei lieviti), che rendono il fattore di crescita una variabile non più lineare. È stato dimostrato infatti, che se inoculiamo 10 milioni di cellule per ml in un mini-mosto da 1 L, otterremo uno starter con 44 miliardi di cellule vive; se inoculiamo il doppio di cellule per ml nello stesso quantitativo di mini-mosto, otterremo 63 miliardi di cellule vive, e non il doppio come ci saremmo aspettati. Data la complessità dell’equazione che dovremmo usare, per calcolare quanti litri di starter produrre in base al numero di cellule vive da inoculare, ho preferito fornire una tabella con i calcoli già effettuati, piuttosto che fare una tediosa lezione di matematica.

Come possiamo notare dalla tabella qui sopra, per ottenere un numero di cellule attive (150 miliardi) sufficiente a fermentare un batch di 20 L con OG pari a 1,040, partendo da una confezione di lievito preparata un mese prima (che ne contiene 79 miliardi), 1 L di starter non sarà sufficiente e dovremo produrne almeno 2 L (ottenendo 184 miliardi di cellule).
È stato ampiamente dimostrato che, mantenendo il mini-mosto sempre in agitazione (e quindi con un continuo apporto di ossigeno), il fattore di crescita aumenta notevolmente e la quantità di cellule finali viene più che raddoppiata. Il grafico rappresentato qui sotto mostra lo sviluppo di cellule attive, rapportato ai vari metodi di coltura dei lieviti nello starter: senza alcun intervento di agitazione; agitando saltuariamente lo starter; utilizzando un agitatore magnetico che tenga ininterrottamente lo starter in movimento.

Preparazione di uno Starter (parte 2)
